Académie Top Gun Professionnels

 
 
 
Mission
Entraînement
 
 
Analyse des dégâts des lasers en fonction de la vitesse :

Tests réalisé par Mr_Bug, après des heures passées sous XWA pour avoir ces résultats :

 

-
Bouclier (SBD) Coque (RU)
Vitesse Vert Rouge Ion Vert Rouge
0 4 5 4 3.85 4.75
25 4.60 5.60 4.60 4.35 5.25
50 5.15 6.15 5.15 4.9 5.75
75 5.75 6.70 5.70 5.45 6.30
100 6.25 7.30 6.30 5.9 6.80
125 6.9 7.85 6.85 6.5 7.4
150 7.5 8.5 7.5 6.95 7.9
175 8 9.05 8 7.5 8.4
200 8.55 9.6 8.6 8 8.9

 

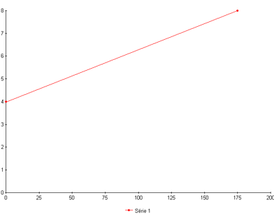
Voici maintenant un graphique, montrant l'impact de la vitesse sur les dégâts que provoquent les lasers verts (les rouges sont plus puissants...):

 

 

Vous comprenez maintenant pourquoi il faut voler le plus vite possible! Dès lors, on comprends mieux pourquoi il arrive parfois que des TI n'explosent pas, même s'ils ont pris un coup de quad lasers (4 lasers en un seul tir). Il lui reste juste 5% de coque. Alors que le même tir avec une meilleure vitesse l'aurait dégommer facilement... Rageant non?

Nouvelle page 1